摘要
免疫治疗以其显著优于其他治疗方式的疗效维持时间为特点,但其疗效预测标志物并不理想。本研究探究血浆中游离DNA的基因突变是否可以提早预测晚期非小细胞肺癌(NSCLC)患者接受ICI治疗的无进展生存期。本研究总计纳入86例患者(39例PFS大于6个月,47例首次评估即为进展)可分析评估,总计有67例患者(78%)的ctDNA检测到了基因突变,发现PTEN或STK11基因突变与早期进展相关,KRAS和TP53的颠换突变(碱基置换中嘌呤与嘧啶之间的替代)则提示预后较好;与免疫评分高的患者(无驱动基因突变、无PTEN或STK11突变和有KRAS或TP53的颠换突变)相比,免疫评分低的患者(驱动基因突变、PTEN或STK11突变和无KRAS或TP53的颠换突变)预后不好。本研究提示免疫治疗前血浆ctDNA基因突变情况可以预测晚期非小细胞肺癌患者ICI治疗的预后情况。
研究背景
随着PD-1 / PD-L1(ICI)的免疫检查点抑制剂临床研究不断开展,NSCLC的治疗前景正在迅速改变,但持久的临床获益仅限于少部分患者,此外由于治疗效果影像学难于评估,刚开始无反应患者的治疗常常被终止,因此寻找能够快速预测潜在获益患者的可靠标志物是一项重大挑战。目前PD-L1表达是临床最有效的预测性生物标志物,但由于病理结果判读存在一定主观性和肿瘤的时空异质性,因此PD-L1表达作为免疫检查点抑制剂的预测生物标志物也存在较大局限性。
肿瘤突变负荷是预测免疫治疗疗效的另一个新兴的生物标志物。在接受Pembrolizumab(K药)治疗的患者的肿瘤组织样本的全外显子测序表明,在高肿瘤突变负荷(TMB)的患者中观察到了对PD-1治疗的最佳响应。并且TMB已被证明可以预测晚期NSCLC Nivolumab(O药)联合ipilimumab(伊匹单抗)一线治疗的疗效和预后。使用全外显子测序(WES)或NGS panel检测TMB,由于测序成本高、缺乏标准化的检测方法、严谨的生物信息学分析和阙值、有限的组织样本和高质量的DNA,使得TMB难以成为临床常规的标志物,而且并非所有的点突变都会导致高免疫原性多肽的产生,因此有必要探索除了TMB以外的可预测PD-1抑制剂治疗疗效的基因突变类生物标志物。
之前的研究表明KRAS突变与免疫检查点抑制剂的持久应答的相关性,在非吸烟者中发现驱动基因突变(EGFR,ALK,BRAF V600E)与低肿瘤突变负荷相关,导致对ICI的应答低。研究发现某些基因突变对肿瘤微环境有直接影响,在约15%的腺癌中失活的STK11突变通常与KRAS突变相关,导致非炎症性肿瘤微环境和PD-L1表达降低。相反,KRAS和TP53突变的肿瘤表现出PD-L1表达增加、突变负担显着增加,比KRAS和STK11突变的肿瘤表现出更强的炎症反应。与KRAS和TP53突变的患者相比,KRAS和STK11突变的患者与PD-1抑制剂的原发耐药有关。同样PTEN的缺失会使得T细胞浸润减少,免疫抑制细胞因子表达增加,导致ICI治疗的不良预后。
血液样本的检测方法为临床没有足够组织的患者提供了可用的机会,虽然液体活检在靶向治疗领域已得到广泛研究,但其预测和追踪免疫治疗反应的潜力才刚刚开始研究。部分研究表明,使用游离DNA来检测TMB和监测免疫治疗的响应具有潜力,然而bTMB的检测需要覆盖大量基因的panel,并且游离DNA中的ctDNA含量取决于肿瘤的发生和脱落,其含量多变,低水平的ctDNA含量可能无法准确检测肿瘤的TMB状态。本研究探究了以血液样本的基因突变标志物来区分对ICI治疗反应者和无反应者,以及ctDNA等位基因突变的早期改变是否可以有效预测治疗的疗效。
研究方法
1, 试验共纳入97例患者,患者的临床特征如(表1),最终86例患者数据可分析评估, 其中67例患者(78%)的ctDNA检测到基因突变。以组织样本的检测结果为标准,血液样本检测KRAS突变、EGFR突变和MET扩增的一致性分别是74%、100%和100%。
表1: 试验患者的临床特征
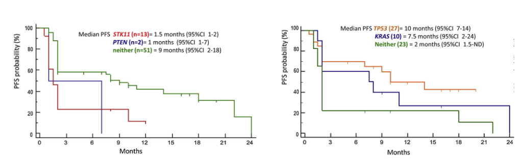
2, 86例患者中39例的PFS大于6个月,为ICI治疗应答者,47例在首次疗效评估时疾病进展,为无应答者;总体可评估患者(n = 86)的中位PFS为7个月,ctDNA没有检测到基因突变的患者中位PFS只有3.5个月。与之前的研究报道一致,在血液样本中检测到可靶向突变(1/1ALK,5/5 EGFR)的患者在首次评估(PFS为2个月)时就进展。与无PTEN和STK11突变的患者相比,PTEN或STK11突变的患者的预后较差(PTEN,HR 8.9,p = 0.09;STK11, HR 4.7,p = 0.003)(图1)。具有KRAS或TP53颠换突变的患者比没有KRAS和的TP53颠换突变患者有更好的预后(TP53,HR 0.36,p = 0.011;KRAS,HR 0.46,p = 0.11)(图1)。
图1: PTEN或STK11和KRAS或TP53基因突变分组患者的PFS
3, 将患者的基因突变情况与患者的治疗预后进行相关性分析,高免疫评分定义如下:没有可靶向的驱动基因突变(EGFR,ROS1,ALK,BRAF V600E),没有PTEN或STK11基因突变,存在KRAS或TP53基因的颠覆突变;低免疫评分定义如下:存在可靶向的驱动基因突变、PTEN或STK11基因突变或不存在KRAS或TP53基因的颠覆突变(图2)。高免疫评分患者的中位PFS为14个月(HR 2.89,95%CI 1.63-5.83),而低免疫评分患者中位PFS仅为2个月(95%CI 1.5个月,p = 0.0008)(图 2)。免疫评分高与免疫评分低患者中6个月PFS分别为76%和33%(p = 0.0006)。
图2: 高免疫评分和低免疫评分分组患者的PFS
4, 一个月内ctDNA 等位基因突变下降患者的PFS(中位PFS10个月,95%CI,8–18)比早期上升的患者(中位PFS 2个月,95%CI ,1.5-ND)更长。等位基因突变下降开始时对治疗有应答的患者中,在6个月后仍有74%的患者对治疗有响应,而等位基因突变升高的患者中只有16%对治疗有响应(图3)。使用等位基因50%或30%变异阈值来预测免疫治疗的预后,在等位基因突变上升的阙值分别为30%和50%两组中,在6个月后仍然对治疗有响应的患者分别只有11%和6.3%(图3)。
图3: ctDNA 等位基因突变动态变化下降或上升分组患者的PFS
讨论
本研究表明利用液体活检可以重复之前组织样本的研究结论:STK11和PTEN基因突变与ICI治疗的不良预后相关,这些特异性标志物和已知的可靶向致癌驱动基因的结合,可提供一种非侵入性的快速测定方法,来指导患者是进行靶向治疗还是ICI治疗。研究也提示ctDNA早期动态改变可预测ICI治疗的预后,如之前的研究也表明在8周内ctDNA完全或部分清除,可很好预测免疫治疗的持续响应;也有部分研究报道,基于血浆样本的基因突变分析可在ICI治疗期间及早期区分假性进展与真实进展;还有基于cfDNA的基因突变检测用于辅助免疫治疗的MRD或耐药机制探究等方向,这些研究结果在免疫治疗领域都具有重要价值。
该项研究的第一个局限性是该研究是回顾性研究,分析中有45%患者属于免疫治疗反应者,部分解释了在总分析患者中异常的7个月中位PFS和在高免疫评分组中的14个月PFS,本研究的结论需要在更大的未选择队列中进行前瞻性验证;第二个局限性是缺乏非ICI治疗组来区分出真正有预测价值的基因突变,之前的研究表明KRAS和TP53突变提示NSCLC较差的预后,而致癌驱动基因如EGFR突变或ALK融合提示较好的预后,这与本研究中观察到的结果刚好相反,这很可能是因为这些基因突变的预测价值不仅是对预后有影响;第三个局限性是可获得的组织样本的基因突变数据不多。尽管研究检测并验证了血液样本与组织样本的主要驱动基因突变有良好的一致性,但没有足够的组织可以用来分析例如PTEN,STK11或TP53基因突变一致性,但在之前进行的前瞻性研究表明本研究中使用的基因检测平台血浆样本基因突变与组织样本的一致性很高。
点评
研究提示血液样本ctDNA靶向测序的基因突变可以预测并可早期监测晚期非小细胞肺癌患者ICI治疗的预后,但由于临床组织样本有限、肿瘤的时空异质性、病理结果判读存在一定主观性导致PD-L1表达作为免疫检查点抑制剂的预测生物标志物存在较大局限性;同样由于WES或大panel测序检测TMB目前价格比较高和周期比较长、实验及生物信息分析的流程缺乏标准和非同义的基因突变只有低于10%的比例可以产生新抗原被T细胞识别等原因导致TMB作为ICI治疗疗效的生物标志物还未被临床大范围使用。利用血液样本来检测基因突变,通过基因突变或动态变化来预测ICI治疗的预后是一个新兴的研究方向。
参考文献:Targeted sequencing of plasma cell-free DNA to predict response to PD1 inhibitors in advanced non-small cell lung cancer. Lung Cancer



