摘要
结直肠癌为一类异质性很强的肿瘤,其对化疗及免疫治疗的疗效差异较大。FDA已批准MSI/dMMR的肠癌患者适用于免疫治疗,但仍有部分患者疗效不佳,为探寻影响结直肠癌免疫识别及逃逸的相关基因突变,本研究分析了1211例结直肠癌样本,其中179例样本为微卫星高度不稳定状态(MSI-H),并分析TCGA数据库中的592例结直肠癌数据。本研究发现WNT/β-catenin信号通路基因在所有结肠直肠癌亚型都是常见突变,并且活化的WNT/β-catenin信号通路与T细胞浸润减少相关。本研究通过针对结直肠癌的大规模基因组分析表明,MSI-H结直肠癌患者尽管易出现高突变负荷及更多的淋巴细胞浸润,但结肠直肠癌肿瘤细胞的WNT信号通路激活会导致T细胞浸润减少,进而会出现免疫治疗抵抗。
研究背景
尽管肿瘤基因组技术已取得了重大进展,但由于肿瘤的异质性导致包括免疫治疗在内的多种治疗方式仍不理想,将肿瘤分子研究进展转化为肿瘤患者治疗获益仍然具有挑战性。精准医学的发展得益于如靶向测序及多组学测序工作,如癌症基因组图谱计划(TCGA)等研究项目及技术的进步,也为基于驱动基因突变的肿瘤分子靶向治疗提供指导。
结直肠癌是具有不同基因突变、伴随免疫应答和受外源因素影响的典型异质性肿瘤,这些特征为结直肠癌的个体化治疗方法提出了挑战。本研究就结直肠癌的免疫治疗逃逸相关基因突变做了深入研究。
研究方法
本研究整合了619例结直肠癌原发样本的外显子组数据,最终汇总了1211例原发性结直肠癌的大样本队列,用于研究结直肠癌显著突变基因、信号通路和潜在的致癌热点突变。由于大队列的结直肠癌样本,提供了大量超突变的MSI-H样本(n = 179,15%)及POLE基因突变的样本(16例),将可以深入研究分析这些超突变结直肠亚型的基因突变情况(图1)。
图1: 每个队列的数据来源,亚型细分和分析类型
研究结果
使用MutSigCV分析方法在所有结直肠癌中发现了19个在WNT信号通路传导中起相应的作用的基因,APC,TP53,RNF43,FBXW7,SOX9,ARID1A和TCF7L2是所有结直肠癌中显著突变的基因;AMER1,TGIF1,ELF3,SMAD4和SMAD2在MSS型结直肠癌中特异性突变;ZNRF3,BCL9L,DOCK3,CD58,AXIN2和 WNT16在MSI-H型结直肠癌中显著突变(图2)。
图2: MSS型和MSI-H型结直肠癌中参与WNT信号通路的显著突变基因
MSI-H型结直肠癌浸润T细胞平均值更高,并且平均约有1000个编码突变,而MSS型结直肠癌样本平均大约只有100个编码突变。然而在MSS或MSI-H亚组内,T细胞平均值与肿瘤突变负荷没有直接关联(图3)。
图3: MSS型和MSI-H型结直肠癌中T细胞平均值、编码突变的数量
核CTNNB1蛋白表达作为WNT信号通路激活的标志物,与研究发现的WNT信号通路传导和T细胞平均值负相关一致,核CTNNB1蛋白表达与肿瘤浸润淋巴细胞(TILs)也呈负相关关系(图4)。
图4: 根据核CTNNB1对T淋巴细胞浸润进行IHC分析
进一步研究了核CTNNB1和CD3 +细胞,CD8 +细胞(细胞毒性T细胞),CD45RO +细胞(抗原经历的记忆T细胞)和FOXP3 +细胞(调节T细胞,抑制细胞毒性T细胞)之间的相关性。观察到核CTNNB1表达与CD8 +细胞(P = 0.002),CD45RO +细胞(P = 0.008)和CD3 +细胞(P = 0.054)之间存在显着的负相关,而与FOXP3 +细胞无关(P> 0.1)(图5);组织染色显示结直肠癌核CTNNB1蛋白高表达组,TILs是低水平,核CTNNB1蛋白不表达组,显示更高水平的TILs(图6)。
图5: 核CTNNB1与T细胞密度相关性
图6: 核CTNNB1与T细胞表面抗原IHC染色
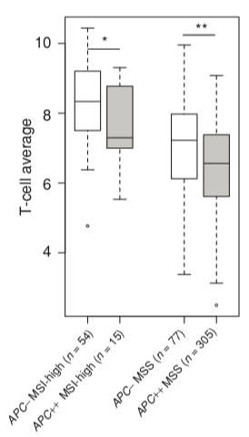
研究探究激活WNT信号通路和降低T细胞平均值的特定基因突变驱动因子,因为APC等位基因缺失导致核CTNNB1蛋白增加,从而驱动WNT靶基因的表达。在MSS和MSI-H结直肠癌亚组内,在有无APC等位基因缺失时T细胞平均值有显著差异(图7)。
图7: MSS型和MSI-H型结直肠癌中有无APC等位基因缺失T细胞平均值
讨论
FDA批准了帕博利珠单抗和纳武利尤单抗两种PD-1免疫检查点阻断抗体,用于治疗MSI-H或错配修复缺陷(MMR-D)的结肠直肠癌患者,对于帕博利珠单抗还适用于所有具有MSI-H或dMMR的难治性恶性实体肿瘤。理论推测MSI-H的肿瘤对免疫治疗响应是由于具有更高的体细胞突变负荷,导致更多新抗原的出现,进而介导了免疫治疗反应。
因为较低比例的MSI-H结直肠癌已被证明对免疫检查点抑制剂响应,在当前免疫治疗取得的进展的基础上,需要更深入地考虑和研究;而更常见的微卫星稳定(MSS)结肠直肠癌通常对这些免疫疗法不响应。
研究报道MSI-H或免疫浸润的肿瘤具有进化的基因突变,可使肿瘤对免疫系统的识别产生抗性(即免疫编辑)。研究利用大型原发结直肠癌队列样本来探究免疫浸润的驱动因素,探究了在MSI-H和MSS亚组中除了突变负荷影响T细胞浸润之外的其他影响因素,具体而言,研究提示了MSI-H结直肠癌通常经过完全破坏MHC抗原呈递途径中关键基因的两个等位基因,进行免疫编辑,并且在MSI-H和MSS亚组中当WNT信号通路激活时,将具有较低的T细胞浸润。
点评
本研究提示WNT信号通路对结直肠癌的免疫逃逸机制起着重要的作用,临床治疗过程中应该更好地甄别WNT信号通路相关基因的患者其接受免疫治疗疗效如何,并在后续的研究过程中观察其他治疗方式(例如放化疗、靶向治疗)或WNT通路抑制剂是否可以对免疫治疗有协同作用,以针对性逆转这部分患者的免疫治疗逃逸机制,实现免疫治疗的疗效最大化。
参考文献:Genetic Mechanisms of Immune Evasion in Colorectal Cancer. Cancer Discov.



