摘要
本文回顾性分析了COG AAML 0531研究中患者KIT基因不同突变亚型对核心结合因子相关急性髓细胞白血病(CBF-AML)患者的预后影响,该研究使用CD33抗体药物偶联剂Gemtuzumab Ozogamicin(GO)治疗方案。结果表明,KIT突变对CBF–AML有着显著不良影响,以17外显子突变为主,含有GO和酪氨酸激酶抑制剂(TKI)的方案治疗可改善17外显子突变高危患者的预后。
研究背景
核心结合因子相关急性髓细胞白血病(CBF-AML)是急性髓细胞白血病(AML)中较常见的细胞遗传学亚型,约占AML总数的15%,该病包括2种遗传学表型:一种为t(8;21)(q22;q22),累及编码核心结合因子(CBF)α亚单位,临床以AML-M2b亚型多见;另一种为t(16;16)(p13.1;q22)或倒位inv(16)(p13.1q22),累及编码核心结合因子CBFβ亚单位,临床以AML-M4EO亚型多见。CBF-AML占儿童急性髓细胞白血病(AML)的20~30%,但并非所有患者可以获得很好的治疗效果,预后差异显著,需进一步风险分层以改善临床疗效。
KIT原癌基因编码跨膜糖蛋白Ⅲ型受体酪氨酸激酶(RTK),KIT突变在多种肿瘤发生发展中有重要作用,突变多发生于影响RTK活性的关键区域,如11外显子JMD区或酪氨酸激酶区(TKD),导致配体非依赖性激活。携带KIT突变的肿瘤中,酪氨酸激酶抑制剂(TKI)对异常激活的KIT有抑制作用,是某些KIT突变疾病的一线治疗方法。KIT突变在CBF-AML中很常见,t(8;21)中发生率12%~46%,inv(16)中9%~53%。目前报道的在不同的临床研究中,KIT突变对 CBF-AML的预后影响结论存在争议。
研究方法
包含细胞学研究和临床队列研究,细胞学研究将KIT第17外显子(E17)和第8外显子(E8)突变的载体转染HEK293和Ba/F3细胞后,观察TKI治疗条件下KIT磷酸化、细胞因子非依赖性生长的反应。COG AAML 0531研究中接受GO治疗的患者,根据突变状态(KIT+与野生型KIT)和不同突变部位(E8 和E17)做分类,评估患者治疗结果。
研究结果
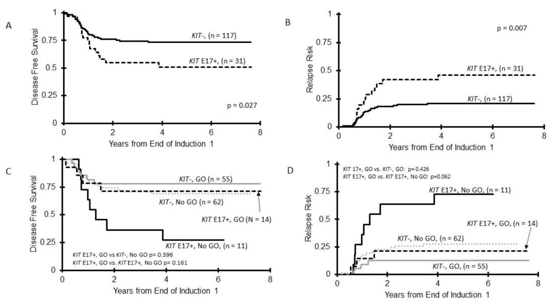
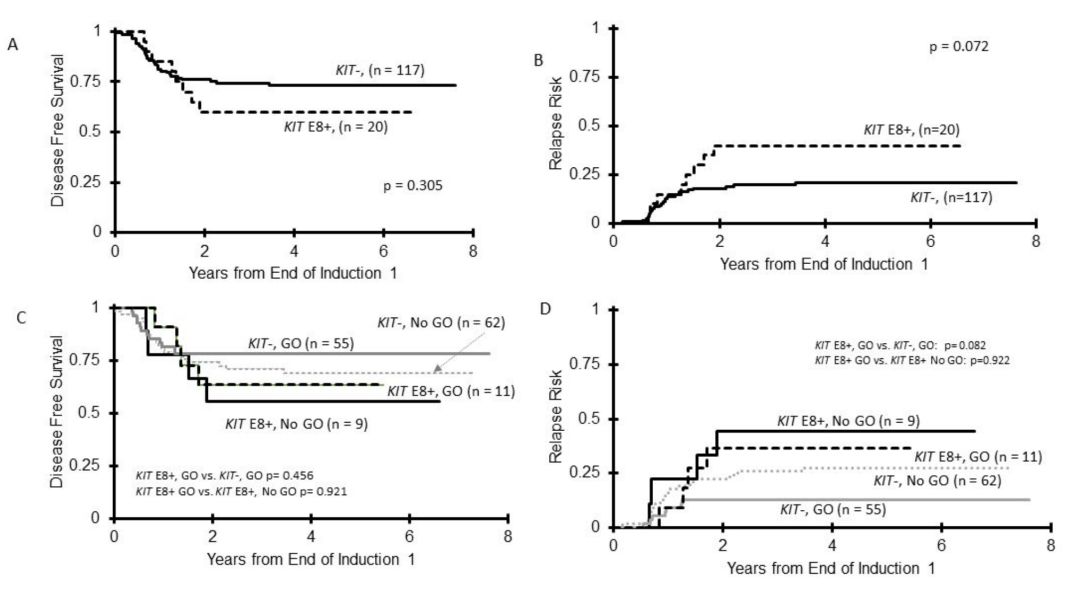
63/205(31%)患者检测到KIT突变(图1),22例(35%)为E8突变,32例(51%)为E17突变,6例(10%)二者均发生突变,3例(5%)突变发生在其他外显子。细胞学功能研究表明,只有E17突变才会导致异常KIT磷酸化和细胞生长。TKI暴露显著抑制E17突变细胞生长,而对E8转染细胞生长无影响(图2)。KIT+CBF-AML患者的总体生存率(OS)与KIT野生型组相似(78%和81%,p=0.905),但复发率较高(RR分别为43%和21%,p=0.005)(图3)。尽管GO可以消除不良预后影响,但E17 KIT+患者结果差于KIT野生型患者[无病生存率(DFS)51%和73%,p=0.027,RR为21%和46%,p=0.007)](图4)。E8突变无明显预后作用,GO不能显著改善其预后(图5)。
图1 采用靶向捕获测序方法检测CBF-AML的KIT突变,突变常发生于8及17外显子,分别为免疫球蛋白胞外区域和酪氨酸激酶结构域的一部分。检测到的突变包括单核苷酸变异(SNVs)及小片段缺失,大部分为框内改变,虚线表示外显子边界。
图2 KIT的8号外显子和17号外显子突变的体外功能评价。(A)外显子8(D419G,D419del)和17(D816V,N822K)突变转染HEK293细胞后,KIT磷酸化;(B)Ba/F3细胞系中IL3撤除实验证实E17 D816V和N822K突变的转化潜能;(C)crenolanib对D816V和N822K转染Ba/F3细胞的细胞毒作用;(D)达沙替尼对D816V和N822K转染Ba/F3细胞的细胞毒作用;(E)crenolanib对D419del和D419G转染Ba/F3细胞的细胞毒作用;(F)达沙替尼对D419del和D419G转染Ba/F3细胞的细胞毒作用
图 3(A)根据KIT突变状态,CBF AML患者的无病生存;(B)根据KIT突变状态,CBF AML患者的复发风险
图4 E17突变与CBF-AML临床结局的关系。(A)KIT+与KIT野生型 患者的DFS比较(B)KIT+与KIT野生型患者的RR比较;(C)E17+与KIT野生型患者采用含有GO和不含GO治疗时的的DFS;(D)E17+ 与KIT野生型患者采用含有GO和不含GO治疗时的RR
图5 E8突变与CBF-AML临床预后的关系。(A)E8+CBF与KIT野生型患者的DFS比较;(B)E8+CBF与KIT野生型患者的RR比较;(C)E8+与KIT野生型患者采用含GO和不含GO方案治疗时的DFS;(D)E8+与KIT野生型患者采用含GO和不含GO方案治疗时的RR
讨论
在这项回顾性研究中,分析研究了205名儿童CBF-AML的KIT突变发生率和预后影响,KIT突变发生率31%,总体上较差KIT+与EFS和DFS以及RR升高相关,不良预后主要与E17突变相关。在GO治疗下,E17+患者临床疗效与KIT-者相似,倾向于使E17+疾病复发减少,OS、EFS和DFS改善,GO治疗可克服E17+导致的不良预后;未接受GO治疗患者中,E8+患者临床疗效和KIT-疾病结果相似,E8+可能对预后无影响。细胞学研究发现E17突变导致KIT信号自主激活,对TKIs的细胞毒作用敏感。
以往的其他临床研究中,可能由于使用的治疗方案和治疗强度不一致,没有发现儿童CBF-AML中KIT突变的预后参考价值。这项研究中采用了统一的治疗方案,研究首次表明,患者可从GO治疗中获益,特别是对E17+患者。这项研究中使用了标准的化疗方案,对发现KIT+疾病结果的不同有帮助,而且研究队列较大,可以根据KIT突变位置进一步分析结果差异。
这项研究结果支持既往研究结论,使用GO治疗患者中,KIT+和KIT野生型患者疗效相似,E17+患者最为明显,提示KIT+的CBF-AML不良结果可以通过适当强化治疗克服,而无需使用HSCT。这项研究提供了KIT+CBF AML临床结果差异的生物学基础,证明了E17异常活化的临床意义,同时提示D816突变对预后影响最大。因研究中复发患者人数太少,无法明确KIT突变克隆性在初诊和复发时的动态变化。
这项研究还表明,E17突变导致KIT异常磷酸化和肿瘤生长,其中D816V比N822K具有更强的作用,转染D816V的细胞可导致更高水平的不成熟KIT在胞内滞留并磷酸化。虽然17、8和11外显子突变患者较野生型患者可检测到更高的不成熟KIT水平。但E17突变对TKI敏感,Crenolanib和达沙替尼能诱导E17转导细胞凋亡,与其他体外研究一致,支持E17突变作为AML治疗靶点,而E8突变不影响功能且对TKIs的细胞毒作用不敏感。11外显子突变也可导致异常磷酸化,但程度不及E17突变且不会产生转化影响,但也可采用TKI治疗,这在许多实体瘤中已有验证。体外研究结果表明,E17和E11突变患者应进一步研究采用TKI强化治疗。
KIT突变AML对TKIs的反应可能由多种机制介导,异常激活的KIT基因信号通路可能是重要的TKIs靶点,如D816V突变,导致未成熟细胞内KIT磷酸化是胃肠道间质瘤常见激活机制,伊马替尼治疗可阻断KIT基因突变造成的磷酸化并促使蛋白成熟。目前有研究正在评估TKIs在KIT+ CBF-AML中的作用,TKIs可能成为重要的强化治疗策略。
点评
二代测序可明确各种致癌基因的多种突变形式,对了解基因功能、临床疗效及预后和克隆性的关系很有帮助。这项研究正是通过测序研究明确了KIT突变与CBF AML不良预后相关,影响主要源于E17+突变。同时亦明确并非所有KIT突变都适用TKI治疗,因此很有必要明确不同RTK突变的功能意义以指导靶向治疗的选择,进一步改善患者预后。
参考文献:
Functional Properties of KIT Mutations are Associated with Differential Clinical Outcomes and Response to Targeted Therapeutics in CBF Acute Myeloid Leukemia. Clin Cancer Res.



